DHQ: Digital Humanities Quarterly
Editorial
Defactoring Pace of Change
Jupyter Notebook: https://interedition.github.io/defactoringbook/defactoring/070_defactoring-pace-of-change
Introduction
Code, the symbolic representation of computer instructions driving software, has long
been a part of research methods in literary scholarship. While it is a tired cliché
to point to the work of Father Busa and his compatriots at IBM as foundational work
in this respect, it was indeed a very early and important application of computation
as a means of analyzing literature (Jones 2016; Nyhan and Flinn 2016). In more recent examples we find researchers using computational code to calculate
geo-references for a large corpus of folklore stories (Broadwell and Tangherlini 2012) or to seek linguistic identifiers that signal “conversional reading” (Piper 2015). However, we ask: where is the code associated with these works? Currently retrieving
the purpose built, one-off, bespoke codebases that enable such feats of computational
literary analysis is in most scholarly domains more a stroke of luck than the guaranteed
result of responsible scholarly behavior, scientific accountability, critical review,
or academic credit. Sometimes we have codebases. Such is the case of Scott Enderle
(2016) who crucially contributed to a methodological discussion about perceived “fundamental
narrative arcs” from sentiment data in works of fiction. Or in the case of Kestemont
et al.’s “Lemmatization for variation-rich languages using deep learning” (2017). However, much of the code used in the long history of humanities computing and recent
digital humanities has not been adequately reviewed nor recognized for its importance
in the production of knowledge.
In this article we argue that bespoke code cannot be simply regarded as the interim-stage
detritus of research; it is an explicit codification of methodology and therefore
must be treated as a fundamental part of scholarly output alongside figures and narrative
prose. The increased application of code both as a means to create digital cultural
artifacts and as an analytical instrument in humanities research warrants the necessity
to elevate code out of its invisibility in the research process and into visible research
outputs. The current system and practices of scholarly publishing do not adequately
accommodate the potential of code in computational work — although it is a lynchpin
of the discourse as both the explication and execution of method, the code itself
is not presented as part of the discourse. We posit that its methodological and rhetorical
role in the evolving epistemology of literary studies (and the humanities in general)
warrants a more overt inclusion of code-as-method in the scholarly discourse.
The current systems of scholarly communication are not tailored very well to such
inclusion. In the humanities there are no set conventions for theorizing, critiquing,
interrogating, or peer reviewing bespoke code. Nor are there agreed upon methods on
how to read and understand code as a techno-scholarly object. Finally, widespread
conventions and infrastructure of scholarly publishing do not support the dissemination
and preservation of code as part of the scholarly record. But given the increasing
role of code and coding in computational and data-intensive humanities research, this
absence is increasingly becoming a deficit in the scholarly process requiring urgent
attention and action.
This article is a first step towards investigating solutions to the problems laid
out above. More specifically we develop one possible method for reading and interrogating
the bespoke code of computational research. Modern computing is possible because of an enormous infrastructure
of code, layers upon layers of accumulated operating systems, shared libraries, and
software packages. Rather than following every codified thread and unraveling the
many layered sweater of software, we focus on the bespoke code associated with a single scholarly publication. That is, the code written and executed
in the pursuit of a specific and unique research output, not general purpose libraries
or software packages; the code that runs only once or maybe a few times in the context
of a specific research question.
The method we present for the critical study of bespoke code used in humanities research
is called defactoring. Defactoring is a technique for analyzing and reading code used in computational
and data-intensive research.
In a supplement to this article on GitHub, we apply this technique to the code underlying
a publication in the field of literary studies by Ted Underwood and Jordan Sellers
named “The Longue Duree of Literary Prestige” (2016). This analysis of their work was made possible by the fact that — rather contrary
to current convention — Underwood and Sellers released preprints and published their
bespoke code on both Zenodo (Underwood 2015) and GitHub (T. Underwood 2018). Building upon their informally published work, we produced a computational narrative
in the form of a Jupyter Notebook documenting our experience studying, interrogating
the code. From the supplementary “close reading” of Underwood and Sellers’s code,
we discuss and reflect upon their work and on defactoring as an approach to the critical
study of code.
On the epistemological level this article subsequently questions how useful it is
that conventional scholarly literacy, means of critique, and publications conventions
keep in place and even enforce a strong separation between the realm of the scholarly
publication and the realm of code if both are expressions of the same. We contend
that these walls of separation can and should be broken down and that this is one
of the primary tasks and responsibilities of critical code studies. To this end we
need to examine the effects and affordances of disrupting and breaking these boundaries.
This article and supplementary materials are an attempt to create an instance of such
a disruption. What would it look like if we linked quotidian code to loftily theoretical
exposition to create a complementary discursive space? How does this new computationally
inflected mode of discourse afford a more robust scholarly dialogue? What may be gained
by opening up bespoke code and having multiple discussions — the literary interpretative
and the computationally methodological — simultaneously?
Background: Being Critical about Code in Literary Scholarship
According to various scholars (e.g. Burgess and Hamming 2011; Clement 2016) there is a dichotomy between, on the one hand, a “pure” intellectual realm associated
with scholarly writing and academic print publication and, on the other hand, the
‘material labour’ associated with the performance of the pure intellectual realm,
for example, instrument making or programing. On closer inspection such a dichotomy
turns out to be largely artificial. For their argument Burgess, Hamming, and Clement
refer to the earlier work of Bruno Latour (1993) who casts the defining characteristic of modernity as a process of ‘purification’
aiming to contrast the human culture of modernity to nature. Burgess and Hamming observe
a congruent process in academia: “Within the academy we see these processes of purification
and mediation at work, producing and maintaining the distinction between intellectual
labor and material labor, both of which are essential to multimedia production” (Burgess and Hamming 2011:¶11). This process serves to distinguish between scholarly and non-scholarly activities:
“The distinction between intellectual and material labor is pervasive throughout scholarly
criticism and evaluation of media forms. […] In addition, any discussion of scholarly
activities in multimedia formats are usually elided in favor of literary texts, which
can be safely analyzed using traditional tools of critical analysis” (Burgess and Hamming 2011:¶12). However, as Burgess and Hamming note, this distinction is based upon a technological
fallacy already pointed out by Richard Grusin in 1994. Grusin argued that hypertext
has not changed the essential nature of text, as writing has always already been hypertextual
through the use of indices, notes, annotations, and intertextual references. To assume
that the technology of hypertext has revolutionarily unveiled or activated the associative
nature of text, amounts to the fallacy of ascribing the associative agency of cognition
to the technology, which, however, is, of course, a ‘mere’ expression of that agency.
To assume an intellectual dichotomy between scholarly publication resulting from writing
versus code resulting from programming is a similar technological fallacy. To assert
that scholarship is somehow bound to print publication exclusively is akin to the
ascribing of agency to the technology of written text because such an understanding
of scholarship presupposes that something is scholarship because it is in writing,
that writing makes it scholarship. But obviously publication is a function of scholarship
and scholarship is not a function of publication because scholarship does not arise
from publication but is ‘merely’ expressed through it.
If scholarship expresses anything through publication it is argument, which is, much
more than writing, an essential property of scholarship. But, in essence, it does
not matter how, or by which form, the argument is made — whether it is made through
numbers, pictures, symbols, words, or objects. Those are all technologies that enable
us to shape and express an argument. This is not to say that technologies are mere
inert and neutral epistemological tools; different technologies shape and affect argument
in different ways. Technological choices do matter and different technologies can
enrich scholarly argument. Producing an argument requires some expressive technology,
and the knowledge and ability to wield that technology effectively, which in the case
of writing is called “literacy.” As Alan Kay (Kay 1993) observed, literacy is not just gaining a fluency in technical skills of reading and
writing. It also requires a “fluency in higher level ideas and concepts and how these
can be combined” (Kay 1993:83). This fluency is both structural and semantic. In the case of writing as technology,
for example, it is about sentence structure, semantic cohesion between sentences,
and about how to express larger ideas by connecting paragraphs and documents. These
elements of literacy translate to the realm of coding and computing (Vee 2013; 2017) where fluency is about the syntax of statements and how to express concepts, for
instance, as object classes, methods and functions that call upon other programs and
data structures to control the flow of computation. Text and writing may still be
the most celebrated semiotic technologies to express an argument, but computer code
understood as ‘just another’ literacy (Knuth 1984; Kittler 1993; Vee 2013; 2017) means it can thus equally be a medium of scholarly argument. We start from this assertion
that coding and code — as the source code of computer programs that is readable to
humans and which drives the performative nature of software (Ford 2015; Hiller 2015)—can be inherent parts of scholarship or even scholarship by itself. That is: we assert
that code can be scholarly, that coding can be scholarship, and that there is little
difference between the authorship of code or text (Van Zundert 2016).
There are two compelling reasons why code should be of interest to scholars. Much
has been written about the dramatic increase of software, code, and digital objects
in society and culture over the last decades often with a lamenting or dystopian view
(Morozov 2013; Bostrom 2016). But aside from doomsday prognostications, there is ample evidence that society and
its artifacts are increasingly also made up of a ‘digital fabric’ (Jones 2014; Berry 2014; Manovich 2013). This means that the object of study of humanities scholars is also changing — literature,
texts, movies, games, music increasingly exist as digital data created through software
(and thus code). This different fabric is also branching off cultural objects with
different and new properties, for instance in the case of electronic literature and
storytelling in general (Murray 2016). It is thus crucial for scholars studying these new forms of humanistic artifacts
to have an understanding of how to read code and understand the computational processes
it represents. Furthermore, as code and software are increasingly part of the technologies
that humanities scholars employ to examine their sources — examples of this abound
(e.g. Van Dalen-Oskam and Van Zundert 2007; Broadwell and Tangherlini 2012; Piper
2015; Kestemont, Moens, and Deploige 2015; etc.) understanding the workings of code is therefore becoming a prerequisite for a solid
methodological footing in the humanities.
As an epistemological instrument, code has the interesting property of representing
both the intellectual and material labor of scholarly argument in computational research.
Code affords method not as a prosaic, descriptive abstraction, but as the actual,
executable inscription of methodology. However, the code underpinning the methodological
elements of the scholarly discourse are themselves not presented as elements in the
discourse. Their status is akin to how data and facts are colloquially perceived,
as givens, objective and neutral pieces of information or observable objects. But
like data (Gitelman 2013) and facts (Betti 2015), code is unlikely to be ever “clean,” “unbiased,” or “neutral” (cf. also Berry 2014).
Code is the result of a particular literacy (cf. for instance (Knuth 1984; Kittler 1993; Vee 2013; 2017) that encompasses the skills to read and write code, to create and interrelate code
constructs, and to express concepts, ideas, and arguments in the various programming
paradigms and dialects in existence. Like text code has performative properties that
can be exploited to cause certain intended effects. And also like text, code may have
unintended side effects (cf. e.g. McPherson 2012). Thus code is a symbolic system with its own rhetoric, cultural embeddedness (Marino 2006) and latent agency (Van Zundert 2016). Therefore rather than accepting code and its workings as an unproblematic expression
of a mathematically neutral or abstract mechanism, it should be regarded as a first-order
part of a critical discourse.
However, the acceptance of code as another form of scholarly argument presents problems
to the current scholarly process of evaluation because of a lack of well-developed
methods for reading, reviewing, and critiquing bespoke code in the humanities domain.
Digital humanities as a site of production of non-conventional research outputs —
digital editions, web based publications, new analytical methods, and computational
tools for instance — has spurred the debate on evaluative practices in the humanities,
exactly because practitioners of digital scholarship acknowledge that much of the
relevant scholarship is not expressed in the form of traditional scholarly output.
Yet the focus of critical engagement remains on “the fiction of ‘final outputs’ in
digital scholarship” (Nowviskie 2011), on old form peer review (Antonijević 2015), and on approximating equivalencies of digital content and traditional print publication
(Presner 2012). Discussions around the evaluation of digital scholarship have thus “tended to focus
primarily on establishing digital work as equivalent to print publications to make
it count instead of considering how digital scholarship might transform knowledge
practices” (Purdy and Walker 2010:178; Anderson and McPherson 2011). As a reaction digital scholars have stressed how peer review of digital scholarship
should foremost consider how digital scholarship is different from conventional scholarship.
They argue that review should be focussed on the process of developing, building,
and knowledge creation (Nowviskie 2011), on the contrast and overlap between the representationality of conventional scholarship
and the strong performative aspects of digital scholarship (Burgess and Hamming 2011), and on the specific medium of digital scholarship (Rockwell 2011).
The debate on peer review of digital output in digital scholarship might have propelled
a discourse on the critical reading of code. However the debate geared almost completely
towards high-level evaluation, concentrating for instance on the issue of how digital
scholarship could be reviewed in the context of promotion and tenure track evaluations.
Very little has been proposed as to concrete techniques and methods for the practical
critical study of code as scholarship in scholarship.[1] Existing guidance pertains to digital objects such as digital editions (Sahle and Vogeler 2014) or to code as cultural artefact (Marino 2006), but no substantial work has been put forward on how to read, critique, or critically
study bespoke scholarly code. We are left with the rather general statement that “traditional
humanities standards need to be part of the mix, [but] the domain is too different
for them to be applied without considerable adaptation” (Smithies 2012), and the often echoed contention that digital artifacts should be evaluated–in silico–as they are and not as to how they manifest in conventional publications (Rockwell 2011).
In what went before, we hope to have shown and argued that bespoke code developed
specifically in the context of scholarly research projects should be regarded as first
class citizens of the academic process, as scholars need methods and techniques to
critique and review such code. We posit that developing these should be an objective
central to critical code studies. As a gambit for this development in what follows,
we present defactoring as one possible method.
Towards a Practice of Critically Reading Bespoke Scholarly Code
Beyond the theoretical and methodological challenges, reading and critically studying
code introduces practical challenges. Foremost is the problem of determining what
code is actually in scope for these practices. The rabbit hole runs deep as research
code is built on top of standard libraries, which are built on top of programming
languages, which are built on top of operating systems, and so on. Methodologically,
a boundary must be drawn
./media/figure-1.png
Figure 1: Layers of code according to their ‘bespokeness’, after Hinsen 2017.
between the epistemologically salient code and the context within which it executes.
(Hinsen 2017) makes a useful distinction that divides scientific software into four layers. First,
there is a layer of general software. Generalized computational infrastructure, such as, operating systems, compilers,
and user interfaces fall into this category. Generic tools like Microsoft Word or
Apache OpenOffice or general purpose programming languages like Python or C, while
heavily used in scientific domains, also have a rich life outside of science (and
academia more broadly). The second layer comprises scientific software. Applications, libraries, or software packages that are not as general purpose as
layer one, rather they are designed for use in scientific or academic activities,
for example, Stata or SPSS for statistical analysis, Open-MPI for parallel computing
in high performance computing applications, or Globus as a general tool for managing
data transfers, AntConc for text corpus analytics, Classical Text Editor to create
editions of ancient texts, or Zotero for bibliographic data management. A third layer
comprises disciplinary software, libraries for use in specific epistemological contexts for analysis of which the
Natural Language Toolkit (NLTK) or the Syuzhet R package for literary analysis are
excellent examples. The design of Syuzhet means it can be used in a variety of analyses,
not just the analysis performed by Jockers (Jockers 2014; 2015). Disciplinary software is distinct from lower layers as it embeds certain epistemological
and methodological assumptions into the design of the software package that may not
hold across disciplinary contexts. Lastly, there is a fourth layer of bespoke software. This layer comprises project-specific code developed in pursuit of the very specific
set of tasks associated with one particular analysis. This is the plumbing connecting
other layers together to accomplish a desired outcome. Unlike the previous layers,
this code is not meant to be generalized or reused in other contexts.
As argued above: with increasing frequency project specific bespoke code is created and used in textual scholarship and literary studies (cf. for instance
Enderle 2016; Jockers 2013; Piper 2015; Rybicki, Hoover, and Kestemont 2014; Underwood
2014; Lahti, Mäkelä, and Tolonen 2020). The algorithms, code, and software underpinning the analyses in these examples are
not completely standardized ‘off the shelf’ software projects or tools. These codebases
are not a software package such as AntConc that can be viewed as a generic distributable
tool. Instead these codebases are (in Hinsen’s model) the fourth layer of bespoke
code: they are one-off highly specific and complex analytical engines, tailored to
solving one highly specific research question based on one specific set of data. Reuse,
scalability, and ease-of-use are — justifiably (Baldridge 2015)—not specific aims of these code objects. This is code meant only to run a limited
number of times in the context of a specific project or its evaluation.
The words, prose, narrative of a scholarly article are an expression of a rhetorical
procedure. When critically engaging with a scholarly article, the focus is on the
underlying argument and its attending evidence. Scholarly dialectic pertains not to
the specifics of the prose, the style of writing, the sentence structure. One could
argue, paying attention to the details of code is equivalent to paying attention to
wordsmithing and thus missing the forest for the trees, that is, fetishizing the material
representation at the expense of the methodological abstraction. However, the significant
difference is that the words are plainly visible to any and all readers, whereas the
code is often hidden away in a GitHub repository (if we are lucky) or on a drive somewhere
in a scholar’s office or personal cloud storage. We argue that the computational and
data driven arguments are missing the material expression (the code) of their methodological
procedures. The prosaic descriptions currently found in computational literary history
and the digital humanities are not sufficient. Notwithstanding their admirable aims
and objectives platforms where one would expect bespoke code bases to be in focus
for primary attention, publications (such as, for instance, Cultural Analytics
[2] and Computational Humanities Research)[3] do not provide standardized access to code or code repositories related to publications.
Nor do they enforce the open publication of such research output. If the prose is
an expression of the argument, with charts and numbers and models as evidence, then
the code, which is the expression of the methodological procedures that produced the
evidence, is just as important as the words. Our thinking is not unlike Kirschenbaum’s
(2008) forensic approaches to writing in that just as digital text has a material trace,
methodological analysis also has a materiality inscribed in code. However, we perhaps
go farther to argue these inscriptions should be surfaced in publication. Why write
an abstract prosaic description of methodological procedures divorced from the codified
expression of those procedures? Why not interweave or link both types of expression
more fully and more intrinsically?
Defactoring
We introduce an experimental technique called defactoring to address the challenges
of critically reading and evaluating bespoke scholarly code. The term and initial
conceptual development was outlined in a blog post by Reginald Braithwaite in 2013.
Braithwaite considered defactoring as the process of de-modularizing software to reduce
its flexibility in the interest of improving readability and reducing cognitive overhead.
By limiting the possible ways in which code can be used you make the process of understanding
what the code is doing more straightforward.
Factoring is the division of code into independent entities that can be recombined.
Defactoring is the reassembly of formerly independent entities. We factor to introduce
flexibility. We defactor to reduce flexibility. Flexibility has a cognitive cost,
so we apply it where we think we need it, and remove it from where we think we don’t
need it. (Braithwaite 2013)
This is counter intuitive to software engineering best practices, which prefer increased
generalization, flexibility, and modularization. Refactoring and software engineering
emphasize writing code that can be managed according to the organizational labor practices
of software production and object-oriented design, breaking blocks of code into independent
units that can be written and re-used by teams of developers (cf. for instance Metz and Owen 2016). While these best practices make sense for code intended for Hinsen's first three
layers of software, the fourth layer, bespoke code, is written in a different style
with less emphasis on abstraction and modularity. Bespoke scholarly code is often
already defactored in Briathwaite’s conceptualization because it has been written
with minimal flexibility and a specific purpose. When evaluated against standards
of good software design, bespoke code smells bad.[4]
We should stress that our intervention is not aimed at importing well-known methods
and techniques of code review from the IT industry into the (digital) humanities.
Our aim is not to review code singularly for its modularization, readability, performance,
or errors according to good practices in that industry (as for instance explained
in Carullo 2020, Gorelick and Ozsvald 2014, and Oram and Wilson 2007). There is obvious
merit in auditing code for its technical robustness, and reviewing code for these
aspects should be part of any software design. However, our current aim is to introduce
a method for the critical analysis of bespoke scholarly code that can be applied as a form of scholarly peer review and critical analysis. Crucially,
our intended audience are scholars within critical code studies who need a structured
method to read into the data, code, and underlying computational processes in such
a way that aligns with scholarly inquiry and critique. Furthermore,
Braithwaite argued that modularization introduces additional cognitive load when reading
code because of the effort involved in tracing branched execution paths. He suggested
that de-modularization simplifies the process of reading code by making certain aspects
more straightforward and accessible. We build on Braithwaite’s notion of defactoring
by adding a critical dimension that emphasizes description, discussion, inspection, and interpretation of bespoke scholarly code. We suggest this critical approach to defactoring can serve
to explain the semantics of code to a new audience (namely scholars), and allow a
broader audience to engage code in a more reflective and critical fashion as they
would read any scholarly publication. Defactored code is a more comprehensible narrative,
accessible to non-technical scholars, enabling them to engage in analytically discussions
about the computational methods and approaches in digital humanities research.
Thus, here we are interested in elucidating what a process of defactoring code looks
like for the purposes of critically assessing code, which implies reading code. In
our expanded notion of the concept, defactoring can be understood as a close reading
of source code–and if necessary a reorganization of that code–to create a narrative
around the function of the code. This technique serves multiple purposes: critically
engaging the workings and meanings of code, peer reviewing code, understanding the
epistemological and methodological implications of the inscribed computational process,
and a mechanism for disseminating and teaching computational methods. We use defactoring
to produce what might prospectively be called the first critical edition of source
code in the digital humanities by unpacking Ted Underwood and Jordan Sellers’s code
associated with their article “The Longue Duree of Literary Prestige” (Ted Underwood and Sellers 2016a).[5]
The codebase that Underwood and Sellers produced and that underpins their argument
in “The Longue Duree of Literary Prestige” is a typical example of multi-layered code. The code written
by Underwood and Sellers is bespoke code, or fourth layer code in Hinsen’s model of
scientific software layers. When dealing with a scholarly publication such as “The
Longue Duree of Literary Prestige,” our reading should concentrate on layer four, the bespoke
code. The code from the lower layers, while extremely important, should be evaluated
in other processes. As Hinsen points out, layer four software is the least likely
to be shared or preserved because it is bespoke code intended only for a specific
use case: this means it most likely has not been seen by anyone except the original
authors. Lower layer software, such as scikit-learn, has been used, abused, reviewed,
and debugged by countless people. There is much less urgency, therefore, to focus
the kind of intense critical attention that comes with scholarly scrutiny on this
software because it already has undergone so much review and has been battle-tested
in actual use.
There is no established definition of ‘defactoring’ or its practice. We introduce
defactoring as a process for ‘close reading’ or possibly a tool for ‘opening the black
box’ of computational and data intensive scholarship. While it shares some similarity
to the process of refactoring — in that we are “restructuring existing computing code
without changing its external behavior” — refactoring restructures code into separate
functions or modules to make it more reusable and recombinable. Defactoring does just
the opposite. We have taken code that was broken up over several functions and files
and combined it into a single, linear narrative.
Our development of defactoring as a method of code analysis is deeply imbricated with
a technical platform (just as all computational research is). But rather than pushing
the code into a distant repository separate from the prosaic narrative, we compose
a computational narrative
(Perez and Granger 2015)—echoing Knuth’s literate programming (1984) — whereby Underwood and Sellers’s data
and code are bundled with our expository descriptions and critical annotations. This
method is intimately intertwined with the Jupyter Notebook platform which allows for
the composition of scholarly and scientific inscriptions that are simultaneously human
and machine readable. The particular affordances of the Notebook allow us to weave
code, data, and prose together into a single narrative that is simultaneously readable
and executable. Given our goals to develop a method for critically engaging computational
scholarship, it is imperative we foreground Underwood and Sellers’s bespoke code,
and the Jupyter Notebooks enables us to do so.
Pace of Change
The bespoke code we defactor is that which underlies an article that Underwood and
Sellers published in Modern Language Quarterly (Ted Underwood and Sellers 2016a): The Longue Durée of Literary Prestige. This article was the culmination of prior work in data preparation
(Ted Underwood and Sellers 2014), coding (Ted Underwood and Sellers 2015; T. Underwood 2018) and preparatory analysis (Ted Underwood and Sellers 2015). The main thrust of the MLQ article seems to be one of method:
Scholars more commonly study reception by contrasting positive and negative reviews.
That approach makes sense if you’re interested in gradations of approval between well-known
writers, but it leaves out many works that were rarely reviewed at all in selective
venues. We believe that this blind spot matters: literary historians cannot understand
the boundary of literary distinction if they look only at works on one side of the
boundary. (Underwood and Sellers 2016:324.
To substantiate their claim Underwood and Sellers begin their “inquiry with the hypothesis
that a widely discussed “great divide” between elite literary culture and the rest
of the literary field started to open in the late nineteenth century.” To this end
they compare volumes of poetry that were reviewed in elite journals in the period
1820-1917 with randomly sampled volumes of poetry from the HathiTrust Digital Library
from the same period. They filtered out volumes from the HathiTrust resource that
were written by authors that were also present in the reviewed set, effectively ending
up with non-reviewed volumes. In all they compare 360 volumes of ‘elite’ poetry and
360 non-reviewed volumes. For each volume the relative frequencies of the 3200 most
common words are tallied and they apply linear regression to these frequency histograms.
This linear regression model enables them finally to predict whether a sample that
was not part of the regression data would have been reviewed or not. The accuracy
of their predictions turn out to be between 77.5 and 79.2 percent. This by itself
demonstrates that there is some relationship between some poetry volume’s vocabulary
and that volume being reviewed. But more importantly, their results challenge the
idea that literary fashions are pretty stable over some decades and are then revolutionized
towards a new fashion. By contrast, the big 19th century divide turns out not to be
a revolutionary change but a stable and slowly progressing trend since at least since
1840. Underwood and Sellers conclude: none of our “models can explain reception perfectly,
because reception is shaped by all kinds of social factors, and accidents, that are
not legible in the text. But a significant chunk of poetic reception can be explained
by the text itself (the text supports predictions that are right almost 80 percent
of the time), and that aspect of poetic reception remained mostly stable across a
century” (Ted Underwood and Sellers 2016b). Sudden changes also do not emerge if they try to predict other social categories
like genre or authorial gender. They finally conclude that the question why the general
slow trend they see exists is too big to answer from these experiments alone because
of the many social factors that are involved.
Underwood and Sellers purposely divided their code into logical and meaningful parts,
modules, and functions stitched together into a data processing and analysis script.
We found to better understand the code as readers (vs. authors), it was necessary
to restructure (or defactor) the code into a single long, strongly integrated, procedural
process, which would in a develop context be considered to be poor software engineering
practice. This makes the code a linear narrative, which is easier for humans to read
while the computer is, for the most part, indifferent. There is a tension between
these two mutually exclusive representations of narratives with code divided and branched,
emerging from the process of development by software engineers, and with prose as
a linear narrative intended for a human reader. What we observed is that the processes
of deconstructing literature and code are not symmetrical but mirrored. Where deconstructing
literature usually involves breaking a text apart into its various components, meanings,
and contexts, deconstructing software by defactoring means integrating the code’s
disparate parts into a single, linear computational narrative. “Good code,” in other
words, is already deconstructed (or ‘refactored’) into modules and composable parts.
For all practical purposes we effectively are turning “well engineered” code into
sub-optimal code full of ‘hacks’ and terrible ‘code smells’ by de-modularizing it.
However, we argue, this “bad” code is easier to read and critique while still functioning
as its authors intended.
Defactoring injects the logical sections of the code, parts that execute steps in
the workflow, with our own narrative reporting on our understanding of the code and
its functioning at that moment of the execution. The Jupyter Notebook platform makes
this kind of incremental exploration of the code possible and allows us to present
a fully functioning and executable version of Underwood and Sellers’s code that we
have annotated. Reading (and executing along the way) this notebook therefore gives
the reader a close resemblance of the experience of how we as deconstructionists ‘closely
read’ the code.[6]
Defactoring Pace of Change Case Study
As a supplement to this article, we have included our example defactoring of Underwood
and Sellers’ Pace of Change code. We have forked their Github repository and re-worked
their code into a Jupyter notebook. Conceptually, we combined their python code files
with our narrative to create a computational narrative that can be read or incrementally
executed to facilitate the exploration of their computational analysis (illustrated
in figure 2).
./media/figure-2.png
Figure 2: Illustration of defactoring Pace of Change as a conceptual process. On the
left the original highly structured and modularized code. Right our interpretation
and narrative. In the middle code and narrative brought together in a single computational
story published as a Jupyter notebook.
The defactored code is available in the following GitHub repository:
Readers are strongly encouraged to review the notebook on GitHub or download and execute
it for an even richer, interactive experience. Here we want to highlight two specific
examples within the code of Underwood and Sellers that in our reading of the code
became rather significant.
Binomal_select()
Consider the following snippet of commented code that gestures to a path not taken in Underwood and Sellers' data analysis.
# vocablist = binormal_select(vocablist, positivecounts, negativecounts, totalposvols,
totalnegvols, 3000)
# Feature selection is deprecated. There are cool things
# we could do with feature selection,
# but they'd improve accuracy by 1% at the cost of complicating our explanatory task.
# The tradeoff isn't worth it. Explanation is more important.
# So we just take the most common words (by number of documents containing them)
# in the whole corpus. Technically, I suppose, we could crossvalidate that as well,
# but *eyeroll*.
Underwood and Seller's code above does not actually perform any work as each line
has been commented out; however, we include it because it points towards an execution
path not taken and an interesting rationale for why it was not followed. In the "production"
code, the heuristic for feature selection is to simply select the 3200 most common
words by their appearance in the 720 documents. This is a simple and easy technique
to implement and — more importantly — explain to a literary history and digital humanities
audience. Selecting the top words is a well established practice in text analysis,
and it has a high degree of face validity. It is a good mechanism for removing features
that have diminishing returns. However, the commented code above tells a different,
and methodologically significant, story. The comment discusses an alternative technique
for feature selection using binormal selection. Because this function is commented
out and not used in the analysis, we have opted to not include it as part of the defactoring.
Instead, we have decided to focus on the more interesting rationale about why binormal
selection is not being used in the analysis as indicated in the comments:
There are cool things we could do with feature selection, but they'd improve accuracy
by 1% at the cost of complicating our explanatory task. The tradeoff isn't worth it.
Explanation is more important.
This comment reveals much about the reasoning, the effort, and energy focused on the
important but, in the humanities, oft-neglected work of discussing methodology. As
Underwood argued in The literary uses of high-dimensional space (Underwood 2015b), while there is enormous potential for the application of statistical
methods in humanistic fields like literary history, there is resistance to these methods
because there is a resistance to methodology. Underwood has described the humanities
disciplines’ relationship to methodology as an "insistence on staging methodology
as ethical struggle" (Underwood 2013). In this commented code we can see the material
manifestation of Underwood's methodological sentiment, in this case embodied by self-censorship
in the decision to not use more statistically robust techniques for feature selection.
We do not argue this choice compromises the analysis or final conclusions, rather
we want to highlight the practical and material ways research methods are not a metaphysical
abstraction, but rather have an tangible and observable reality. By focusing on a
close reading of the code and execution environment, by defactoring, we illuminate methodology and its relation to the omnipresent explanatory task commensurate with the use of computational research methods in the humanities.
The Croakers
At this point, any prosaic resemblance left in the data is gone, and now we are dealing
entirely with textual data in a numeric form.
### DEFACTORING INSPECTION
print("The vector representation of {} by {}".format(
metadict[defactoring_volume_id]['title'],
metadict[defactoring_volume_id]['author']))
print("The vector has a length of {}.".format(
len(features)))
print("The first 100 elements of the vector:")
print(features[0:100])
The vector representation of The croakers by Drake, Joseph Rodman,
The vector has a length of 3200.
The first 100 elements of the vector:
[570. 254. 194. 167. 136. 123. 95. 86. 40. 56. 48. 61. 76. 89.
40. 30. 27. 50. 59. 63. 12. 20. 26. 32. 54. 34. 18. 13.
20. 44. 33. 26. 15. 41. 24. 16. 12. 9. 32. 37. 32. 17.
21. 39. 22. 3. 8. 26. 11. 18. 15. 26. 13. 21. 72. 7.
15. 21. 7. 14. 15. 47. 25. 36. 24. 11. 9. 43. 8. 13.
9. 9. 11. 4. 16. 13. 13. 13. 9. 10. 8. 20. 7. 9.
8. 21. 26. 19. 14. 25. 12. 6. 5. 6. 13. 6. 4. 9.
9. 17.]
Figure 3: The Croakers by Joseph Rodman Drake as a series of word frequencies.
The code output above shows us a single volume processed by the code, The Croakers by Joseph Rodman Drake. As we can see, the words are now represented as a list of
numbers (representing word frequencies). However, this list of numbers still requires
additional transformation in order to be consumable by a logistic regression. The
word frequencies need to be normalized so they are comparable across volumes. To do
this Underwood and Sellers divide the frequency of each individual word by the total
number of words in that volume. This makes volumes of different lengths comparable
by turning absolute frequencies into relative frequencies. The code output below shows
the normalized frequency values for 10 columns (10 words) of the last 5 poetry volumes.
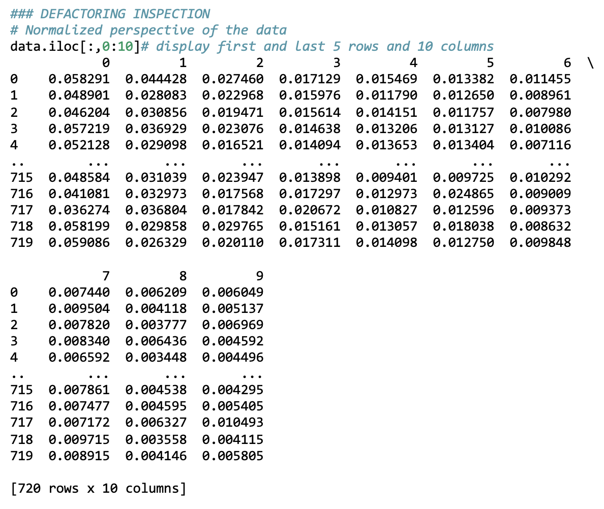
### DEFACTORING INSPECTION
# Normalized perspective of the data
data.iloc[:,0:10]# display first and last 5 rows and 10 columns
0 1 2 3 4 5 6 \
0 0.058291 0.044428 0.027460 0.017129 0.015469 0.013382 0.011455
1 0.048901 0.028083 0.022968 0.015976 0.011790 0.012650 0.008961
2 0.046204 0.030856 0.019471 0.015614 0.014151 0.011757 0.007980
3 0.057219 0.036929 0.023076 0.014638 0.013206 0.013127 0.010086
4 0.052128 0.029098 0.016521 0.014094 0.013653 0.013404 0.007116
.. ... ... ... ... ... ... ...
715 0.048584 0.031039 0.023947 0.013898 0.009401 0.009725 0.010292
716 0.041081 0.032973 0.017568 0.017297 0.012973 0.024865 0.009009
717 0.036274 0.036804 0.017842 0.020672 0.010827 0.012596 0.009373
718 0.058199 0.029858 0.029765 0.015161 0.013057 0.018038 0.008632
719 0.059086 0.026329 0.020110 0.017311 0.014098 0.012750 0.009848
7 8 9
0 0.007440 0.006209 0.006049
1 0.009504 0.004118 0.005137
2 0.007820 0.003777 0.006969
3 0.008340 0.006436 0.004592
4 0.006592 0.003448 0.004496
.. ... ... ...
715 0.007861 0.004538 0.004295
716 0.007477 0.004595 0.005405
717 0.007172 0.006327 0.010493
718 0.009715 0.003558 0.004115
719 0.008915 0.004146 0.005805
[720 rows x 10 columns]
Figure 4: The Croakers by Joseph Rodman Drake as a series of relative word frequencies.
./media/figure-5.png
Figure 5: One page of poetry from a print publication of The Croakers by Joseph Rodman Drake. (Source Google Books)
./media/figure-6.png
Figure 6: The final representation of The Croakers as a cross on this chart at 1860 on the x-axis and around 0.4 on the y-axis.
The last row in code listing 2 (the row starting with the number 719) is the normalized
representation of The Croakers by Joseph Rodman Drake. It is one of 720 relatively indistinguishable rows of numbers
in this representation of 19th century poetry. This is a radical transformation of
the original, prosaic representation literary historians are probably used to seeing
(shown in figure 3) and that would be the subject of close reading. What we can see
here is the contrast between representations for close and distant reading side-by-side.
Discussion
The story told by the Defactoring Pace of Change case-study is that of methodological data transformation through a close reading
and execution of bespoke code. The code is an engine of intermediate representations, meaning the computational narrative told by Defactoring Pace of Change is one of cleaning, shaping, and restructuring data; transformation of poetry into
data (and metadata), of large data into small data, and finally of data into visualizations.
The Code is a material record, a documentary residue, of Underwood and Sellers’ methodology.
Representations of Data In and Through Code
From the perspective of data, the code of Pace of Change is not the beginning. The
project begins with a collection of prepared data and metadata from poetry volumes
transformed into bags of words (Ted Underwood 2014). There was a significant amount of “data-work” completed before Pace of Change began,
but just as bespoke code is built on shared libraries, operating systems, and general
purpose programming languages, the bespoke data is built on previous data and data work. Both the data and code included in Pace
of Change are products derived from larger “libraries” (both in the sense of software
libraries like scikit-learn and digital libraries like HathiTrust). The OCR’d texts
in the HathiTrust digital library are akin to the general purpose programming languages
or operating systems; digital collections have many uses.[7] The content and context of the poetry data before their use in the Pace of Change analysis are salient and important; data are the result of socio-technical processes
(Chalmers and Edwards 2017; Gitelman 2013). Defactoring focuses on the intimate relationship between the bespoke-data, bespoke-code,
and the environment within which computations occur.
The data in Pace of Change are not one thing but rather a set of things undergoing
a series of interconnected renderings and transformations. As we see in The Croakers
example above, poetry starts as a tabular collection of metadata and bags of words.
The code filters, cleans, identifies a subset of the poetry data relevant to the analysis.
The selected metadata then drives the processing of the data files, the bags of words,
to select the top 3,200 words and creates a standard vectorized representation of
each poetry volume and, importantly for supervised learning, their associated labels
("reviewed" or "not reviewed"). Much of the bespoke data/code-work of Pace of Change
is in the service of producing the representation of the data we see in Figure 4;
bespoke code for transforming bespoke data into standardized data conformant to standardized
code. What comes out the other side of the mathematically intensive computation of
Pace of Change, the logistic regression, is more data. But these data are qualitatively and quantitatively different because they
reveal new insights, patterns, and significance about poetry. The predictions of 720
individual statistical models for each poetry volume, as seen in Figure 6, and the
coefficients of the final statistical model are, for Underwood and Sellers, the important
representations — for it is through the interpretation of these representations that
they can find new insights about literary history. The data story of the Pace of Change code ends with a chart and two new CSV files. One could, theoretically, review and
critique these data, but we would argue focusing on just the data in absence of the
code which documents their provenance would only be a small part of the story.
Even though the data, its transformations and renderings are central to Underwood
and Sellers’ understanding of the pace of change of literary vocabulary, almost nothing
of this scientific material makes it to the final transformation that is represented
with the scholarly article eventually published in Modern Language Quarterly (MLQ). In fact all code and data are jettisoned from the narrative and only a high
level prose description of the computational research and one picture congruent with
figure 6 in this publication remain. As a full and accountable description of the
methodology this seems rather underwhelming.
Method Made Material
Defactoring Pace of Change reveals an important methodological dynamic about the relationship
between mundane data management and urbane methodology. As the ‘binormal_select()’
example above shows, there were analytical paths implemented but ultimately not pursued.
Only one of the two feature selection methods is discussed in the MLQ article. Underwood
and Sellers chose not to use a more robust method for feature selection because they
foresaw the improved accuracy would not balance the effort required to explain it
to an audience unfamiliar with more advanced statistical expertise. There is a clear
tension, and gap, between the techniques being used and the explanation that must
accompany them. Similarly in the MLQ publication and the Figshare contribution, we
find many allusions to the tweaking of the models that Underwood and Sellers used,
but for which we do not find in the code — for instance where they refer to including
gender as a feature (Underwood and Sellers 2016:338) and to using multi period models (Underwood and Sellers 2016:329). Traces remain of these analyses in the code, but supplanted by later code and
workflows, these statistical wanderings are not explicitly documented anymore.[8]
In all, this means that there is a lot of analysis and code-work that remains unrepresented.
Even in a radically open project such as Pace of Change, there is still going to be
code, data, and interpretive prose that does not make the final cut (i.e the MLQ article).
Moreover, much analytic and code effort remains invisible because it does not appear
in the final code repository, leaving only an odd trace in the various narratives.
We are not arguing that all of the developmental work of scholarship be open and available, but our defactoring
of pace of change makes us wonder what a final, camera-ready representation of the
code produced by Underwood and Sellers would include.
The invisibility of so many parts of the research narrative signals to us the very
need for the development of a scholarly literacy and infrastructure that engages
with the bespoke code of research not as banal drudgery, but as the actual, material
manifestation of methodology. What if the annotated code, such as that which we produced
in Defactoring Pace of Change, was the "methods" section? Only by such deep and intimate understanding of code
can we award credit and merit to the full analytical effort that scholars undertake
in computational explorations.
On Reading Code
This experiment in defactoring highlights a gap between the narrative of the code
and that of the MLQ article. This gap is enlarged by the current conventions of scholarly
publishing and communication that discourages including code in the publication itself.
But who really wants to read code anyway? As an invited early reader of this work
pointed out, the code is not that interesting because scholars are primarily interested
in the “underlying methodology;” an abstract theoretical construct. But where exactly
does this "underlying methodology" obtain a material reality? In the minds of authors,
reviewers, and readers? We argue computational research creates a new discursive space:
the code articulates the underlying methodology. There is not some metaphysical intellectual method whose
material reality exists in the noosphere. When we read code, we read methodology.
This is a radical proposition that implies a disruptive intervention in the conventions
of scholarly publishing and communication where data and computationally intensive
works are concerned. Very rarely are the data and code incorporated directly into
the prosaic narrative, why would they? Code is difficult to read, filled with banal
boilerplate that doesn’t directly contribute to an argument and interpretation. Furthermore,
code is challenging to express in print-centric mediums like PDFs and books. But when
the documentary medium itself becomes a platform for the manipulation and execution
of the code (i.e. a web browser and computational notebooks), then it is possible
to imbricate the material expression of methodological procedures in-line with the prosaic representations of the rhetorical procedure.
Defactoring Pace of Change is perhaps a first, roughshod attempt at exploring a new discursive space. We have,
given the tools at our disposal, tried to create a publication that represents what
could be, and should be, possible. However, the platforms and the practices do not
exist or have not come together to truly represent this idyllic confluence of prose,
data, and code. Defactoring Pace of Change leverages Jupyter Notebooks as a platform that affords the ability for both humans
and machines to read the same document, but the platforms of publishing and reading
such documents are non-existent or are immature at best. Beyond platforms, there are
research and publication practices, a set of conventions that need to emerge where
code is more seamlessly integrated into the narrative.[9] Our reconfiguration of Underwood and Seller’s Python code into a linear structure
and the intermixing of prosaic descriptions is an experiment in establishing new practices
and conventions for computational narratives.
Conclusion
There is a tendency both in scholars and engineers to separate things (Bowker and Star 1999). We can see one such separation in the TEI-XML community. Inspired by early developments
in electronic typesetting (Goldfarb 1996) both textual scholars and engineers arrived upon the idea of separation of form and
content (DeRose et al. 1990): there is the textual information (“Nixon resigns”),
and there is how that information looks (e.g. bold large caps in the case of a newspaper
heading). Thus in TEI-XML an unproblematic separation of information and layout is
assumed. On closer inspection however, such a separation is not as unproblematic at
all (Welch 2010; Galey 2010). Form demands to be part of meaning and interpretation, as is dramatically clear
from looking at just one poem by William Blake. Yet such separation has emerged in
science and research: data tends to be separated from research as an analytical process,
and the creation of digital research objects (such as digital data and analytic code)
goes often unrecognized as intellectual research work and is considered ‘mere’ supportive
material labor (Burgess and Hamming 2011). Data is mostly regarded as a neutral and research independent entity, indeed something
‘given’ as the Latin root suggests. That the state of data are not quite as straightforward
has been argued before (Galey 2010; Drucker 2011; Gitelman 2013). From our experience defactoring Pace of Change we derive the same finding: there
are rich stories to tell about the interactions between code and data.
Code can be read and examined independently of its context and purpose, as a static
textual object. In such a case one looks critically at the structure of the code —
are separate steps of the process clearly delineated and pushed to individual subroutines
to create a clearly articulated and maintainable process, are there considerable performance
issues, have existing proven libraries been used? This kind of criticism — we could
compare it to textual criticism — is informative but in a way that is wholly unconnected
to the context of its execution. It is like picking apart every single cog in a mechanical
clock to judge if it is well built, but without being interested in what context and
for what purpose it will tell time. This would be code review as practiced in an industrial
setting. Code review takes the structural and technical quality of code into consideration
only insofar that obvious analytical errors should be pointed out, judged against
measures of performance and industrial scalability and maintainability. However, this
approach has little relevance for the bespoke code of scholarly productions, it is
relatively “okay for academic code to suck” as compared to the best practices of industrial
code-work (Baldridge 2015). But what about best practices for understanding the bespoke code of scholarly research? What about critically understanding code
that “only runs once” and whose purpose is insight rather than staying around as reusable
software? We put forth defactoring as a technique for unveiling the workings of such
bespoke code to the scholarly reader (and potentially a larger audience). We cast
it as a form of close reading that draws out the interaction between code and the
content, the data, and the subject matter. Essentially, we think, defactoring is a
technique to read and critique those moments of interaction. Data, analytic code,
and subject matter co-exist in a meaningful dynamic and deserve inspection. It is
at these points that defactoring affords a scholar to ask — not unlike she would while
enacting literary criticism: what happens here and what does it mean? Whereas the
original code is mere supportive materials, the defactored and critically read code
morphs into a first-order computational narrative that elevates the documentary residue
of analysis to a critical component of the scholarly contribution.
In this sense we found that defactoring is more than just a method to open up bespoke
code to close reading in the digital humanities. It also shows how code literacy,
just as “conventional” literacy, affords an interpretative intellectual engagement
with the work of other scholars, which is interesting in itself. The code is an inscription
of methodological choices and can bridge the gap between the work that was done and
the accounts of the work. We think that the potential of defactoring reaches beyond
the domain of digital humanities. As a critical method it intersects with the domains
of Critical Code Studies and Cultural Analytics as well and could, as a matter of
fact, prove viable and useful in Science and Technology Studies or any scientific/scholarly
domain where bespoke code is used or studied.
On an epistemological level once again it appears that we cannot carve up research
in neatly containerized independent activities of which the individual quality can
be easily established and aggregated to a sum that is greater than the parts. The
‘greater’ is exactly in the relations that exist between the various activities and
that become opaque if the focus is put on what is inside the different containers.
This is why we would push even farther than saying that data and code are not unproblematically
separable entities. Indeed we would argue that they are both intrinsic parts of a
grander story that Underwood and Sellers tell us and which consists of several intertwined
narratives: there is a narrative that is told by the code, a narrative told by the
comments we found in that code, and a narrative of data transformations. These narratives
together become the premises of an overarching narrative that results first as a Figshare
contribution,[10] and later as an MLQ publication. These narratives are all stacked turtles, and they
all deserve proper telling.
Quite logically with each stacked narrative the contribution of each underlying narrative
becomes a little more opaque. The MLQ article suggests an unproblematic, neat, and
polished process of question-data-analysis-result. But it is only thanks to their
openness that Underwood and Sellers grant us insight to peer into the gap and see
the computational process of data analysis to a presentable result. Underwood and
Sellers went through several iterations of refining their story. The Figshare contribution
and the code give us much insight into what the real research looked like for which
the MLQ article, in agreement with Jon Claerbout’s ideas (Buckheit and Donoho 1995), turns out to be a mere advertising of the underlying scholarship. In contrast to
what we argue here — that data and code deserve more exposure and critical engagement
as being integral parts of a research narrative — we observed in the succession of
narrative transformations that the aspect and contribution of code became not only
more opaque with every stacked narrative, but vanished altogether from the MLQ article.
This gap is not a fault of Underwood and Sellers but rather deeply embedded in the
practices and expectations of scholarly publishing.
We wish to close with a pivotal reflection on our own challenges publishing this article.
Our original vision for Defactoring Pace of Change was to publish it as a single, extensive computationally narrative that includes both
this theoretical discussion and interpretation along with the defactored narrative
of Underwood and Sellers' Python code. We wanted all of the context, interpretation,
and methodological code to be a single document; a combined narrative readable by
humans and executable by computers. However, every single reviewer we have met has
suggested that we should split up the scholarly argument and the defactored code,
thus creating a new gap between this theoretical discussion you are reading and the case-study/Notebook
with the actual Defactoring Pace of Change living on another platform. Reading the notebook is difficult, possibly mind numbing.
We have done our best to make the pace of change code readable and our close reading
of the code revealed many interesting aspects about data, representation, process,
and transformation. Our hope was to make an argument with the very structure and form
of Defactoring Pace of Change by including the code as part of the narrative. However, as one of our earlier readers
pointed out, this has been a "brilliant, glorious, provocative failure." While we
hope to have put forth an argument about bespoke code using the standard scholarly
prosaic conventions, we have failed to challenge and change the deeply ingrained conventions
and infrastructures of scholarly publishing.[11]
What if Underwood and Sellers' had written The
Longue Durée
of Literary Prestige to include the code written in a defactored style, that is, as a linear narrative
intermixed with human-readable expository annotations? They would have also faced
the same structural challenges publishing their article as we faced in Defactoring Pace of Change. The conventions of scholarly publishing and structuring a scholarly narrative are
not congruent with the Computational Notebook paradigm. We do not yet have academic
genre conventions for publishing bespoke code. What would a notebook-centric scholarly publication, one with no gap
that imbricated code and interpretation, look like? Defactoring Pace of Change is our attempt at a provocation not only to consider the epistemological and methodological
significance of bespoke code in computational and data intensive digital humanities
scholarship but also to consider the possibilities of computation in the expression
of such scholarship.
References
Anderson, Steve, and Tara McPherson. 2011. “Engaging Digital Scholarship: Thoughts
on Evaluating Multimedia Scholarship.”
Profession
, 136–51. https://doi.org/prof.2011.2011.1.136.
Antonijević, Smiljana. 2015.
Amongst Digital Humanists: An Ethnographic Study of Digital Knowledge Production
. London, Houndmills, New York: Palgrave Macmillan.
Baldridge, Jason. 2015. “It’s Okay for Academic Software to Suck.”
Java Code Geeks
(blog). May 12, 2015. https://www.javacodegeeks.com/2015/05/its-okay-for-academic-software-to-suck.html.
Berry, David M. 2014.
Critical Theory and the Digital
. Critical Theory and Contemporary Society. New York, London, New Delhi etc.: Bloomsbury
Academic.
Bostrom, Nick. 2016.
Superintelligence: Paths, Dangers, Strategies
. Oxford: Oxford University Press.
Bowker, Geoffrey C., and Susan Leigh Star. 1999.
Sorting Things Out: Classification and Its Consequences
. Cambridge, Massachusetts; London, England: The MIT Press.
Broadwell, P., and Timothy R. Tangherlini. 2012. “TrollFinder: Geo-Semantic Exploration
of a Very Large Corpus of Danish Folklore.” In
Proceedings of LREC
. Istanbul, Turkey.
Buckheit, J., and D.L. Donoho. 1995. “Wavelab and Reproducible Research.” In
Wavelets and Statistics
, edited by A. Antoniadis, 55–81. New York, NY: Springer. https://statweb.stanford.edu/~wavelab/Wavelab_850/wavelab.pdf.
Burgess, Helen J., and Jeanne Hamming. 2011. “New Media in Academy: Labor and the
Production of Knowledge in Scholarly Multimedia.”
DHQ: Digital Humanities Quarterly
5 (3). http://digitalhumanities.org/dhq/vol/5/3/000102/000102.html.
Carullo, Giuliana. 2020. Implementing Effective Code Reviews: How to Build and Maintain Clean Code. New York: Apress.
Cerquiglini, Bernard. 1999.
In Praise of the Variant: A Critical History of Philology
. Baltimore: The Johns Hopkins University Press.
Chalmers, Melissa K., and Paul N. Edwards. 2017. “Producing ‘One Vast Index’: Google
Book Search as an Algorithmic System.”
Big Data & Society
4 (2). https://doi.org/10.1177/2053951717716950.
Clement, Tanya E. 2016. “Where Is Methodology in Digital Humanities?” In
Debates in the Digital Humanities 2016
, 153–75. University of Minnesota Press. http://www.jstor.org/stable/10.5749/j.ctt1cn6thb.17.
Drucker, Johanna. 2011. “Humanities Approaches to Graphical Display.”
Digital Humanities Quarterly
5 (1). http://digitalhumanities.org/dhq/vol/5/1/000091/000091.html.
Enderle, Jonathan Scott. 2016. “A Plot of Brownian Noise.” GitHub Personal Code Repository.
Jonathan Scott Enderle
(blog). July 18, 2016. https://github.com/senderle/svd-noise/blob/main/Noise.ipynb.
Ford, Paul. 2015. “What Is Code?”
Businessweek
, June 11, 2015. http://www.bloomberg.com/graphics/2015-paul-ford-what-is-code/.
Gabler, Hans Walter. 1995. “Introduction: Textual Criticism and Theory in Modern German
Editing.” In
Contemporary German Editorial Theory
, edited by Hans Walter Gabler, George Bornstein, and Gillian Borland Pierce, 1–16.
Ann Arbor: University of Michigan Press. https://www.academia.edu/856505/Textual_Criticism_and_Theory_in_Modern_German_Editing.
Galey, Alan. 2010. “The Human Presence in Digital Artifacts.” In
Text and Genre in Reconstruction: Effects of Digitalization on Ideas, Behaviors, Products
and Institutions
, edited by Willard McCarty, 93–118. Cambridge (UK): Open Book Publishers. http://individual.utoronto.ca/alangaley/files/publications/Galey_Human.pdf.
Hiller, Moritz. 2015. “Signs o’ the Times: The Software of Philology and a Philology
of Software.”
Digital Culture and Society
1 (1): 152–63. https://doi.org/10.14361/dcs-2015-0110.
Hinsen, Konrad. 2017. “Sustainable Software and Reproducible Research: Dealing with
Software Collapse.” Personal Academic Blog.
Konrad Hinsen’s Blog
(blog). January 13, 2017. http://blog.khinsen.net/posts/2017/01/13/sustainable-software-and-reproducible-research-dealing-with-software-collapse/.
Jockers, Matthew L. 2013.
Macroanalysis: Digital Methods and Literary History
. Urabana, Chicago, Springfield: UI Press.
— — — . 2014. “A Novel Method for Detecting Plot.”
Matthew L. Jockers
(blog). June 5, 2014. http://www.matthewjockers.net/2014/06/05/a-novel-method-for-detecting-plot/#note1.
— — — . 2015. “Revealing Sentiment and Plot Arcs with the Syuzhet Package.”
Matthew L. Jockers
(blog). February 2, 2015. http://www.matthewjockers.net/2015/02/02/syuzhet/.
— — — . 2016.
Roberto Busa, S.J., and the Emergence of Humanities Computing: The Priest and the
Punched Cards
. New York, London: Routledge, Taylor & Francis Group.
Kay, Alan C. 1993. “The Early History of Smalltalk.”
ACM SIGPLAN Notices
28 (3): 69–95. https://doi.org/10.1145/155360.155364.
Kestemont, M., S. Moens, and J. Deploige. 2015. “Collaborative Authorship in the Twelfth
Century: A Stylometric Study of Hildegard of Bingen and Guibert of Gembloux.”
Literary and Linguistic Computing
30 (2): 199–224. https://doi.org/10.1093/LLC/FQT063.
Kestemont, Mike, Guy de Pauw, Renske van Nie, and Walter Daelemans. 2017. “Lemmatization
for Variation-Rich Languages Using Deep Learning.”
Digital Scholarship in the Humanities
32 (4): 797–815. https://doi.org/10.1093/llc/fqw034.
Kirschenbaum, Matthew. 2008.
Mechanisms: New Media and the Forensic Imagination
. Cambridge (Massachusetts), London (England): The MIT Press.
Kittler, Friedrich. 1993. “Es gibt keine Software.” In
Draculas Vermächtmis
, 225–42. Leipzig: Reclam Verlag.
Knuth, Donald E. 1984. “Literate Programming.”
The Computer Journal
27 (1): 97–111. https://doi.org/10.1093/comjnl/27.2.97.
Lahti, Leo, Eetu Mäkelä, and Mikko Tolonen. 2020. “Quantifying Bias and Uncertainty
in Historical Data Collections with Probabilistic Programming.” In
Proceedings of the Workshop on Computational Humanities Research (CHR 2020)
, 280 — 289. Amsterdam: CHR. http://ceur-ws.org/Vol-2723/short46.pdf.
Latour, Bruno. 1993.
We Have Never Been Modern
. Translated by Catherine Porter. Cambridge, Massachusetts: Harvard University Press.
Manovich, Lev. 2013.
Software Takes Command
. Vol. 5. International Texts in Critical Media Aesthestics. New York, London, New
Delhi etc.: Bloomsbury Academic.
Marino, Mark C. 2006. “Critical Code Studies.”
Electronic Book Review
, December. http://www.electronicbookreview.com/thread/electropoetics/codology.
McPherson, Tara. 2012. “Why Are the Digital Humanities So White? Or Thinking the Histories
of Race and Computation.” In
Debates in the Digital Humanities
, edited by Matthew K. Gold, 139–60. Minneapolis: University of Minnesota Press. http://dhdebates.gc.cuny.edu/debates/text/29.
Morozov, Evgeny. 2013.
To Save Everything, Click Here: The Folly of Technological Solutionism
. New York: PublicAffairs.
Murray, Janet Horowitz. 2016.
Hamlet on the Holodeck: The Future of Narrative in Cyberspace
. Revised 2016 edition, First published 1997. New York: The Free Press. https://lm03-17.digitalscenography.org/wp-content/uploads/2017/09/Hamlet-on-the-Holodeck.pdf.
Nowviskie, Bethany. 2011. “Where Credit Is Due: Preconditions for the Evaluation of
Collaborative Digital Scholarship.”
Profession
, no. 6: 169–81. https://doi.org/10.1632/prof.2011.2011.1.169.
Nyhan, Julianne, and Andrew Flinn. 2016.
Computation and the Humanities: Towards an Oral History of Digital Humanities
. Springer Series on Cultural Computing. Cham (CH): Springer Open. http://www.springer.com/gp/book/9783319201696.
Perez, Fernando, and Brian E. Granger. 2015. “Project Jupyter: Computational Narratives
as the Engine of Collaborative Data Science.” Blog.
Project Jupyter: Interactive Computing
(blog). July 7, 2015. http://blog.jupyter.org/2015/07/07/project-jupyter-computational-narratives-as-the-engine-of-collaborative-data-science/.
Piper, Andrew. 2015. “Novel Devotions: Conversional Reading, Computational Modeling,
and the Modern Novel.”
New Literary History
46 (1): 63–98. https://doi.org/10.1353/nlh.2015.0008.
Presner, Todd. 2012. “How to Evaluate Digital Scholarship.”
Journal of Digital Humanities
1 (4). http://journalofdigitalhumanities.org/1-4/how-to-evaluate-digital-scholarship-by-todd-presner/.
Purdy, James P., and Joyce R. Walker. 2010. “Valuing Digital Scholarship: Exploring
the Changing Realities of Intellectual Work.”
Profession
, 177–95.
Rockwell, Geoffrey. 2011. “On the Evaluation of Digital Media as Scholarship.”
Profession
, 152–68. https://doi.org/prof.2011.2011.1.152.
Rybicki, J., D. Hoover, and M. Kestemont. 2014. “Collaborative Authorship: Conrad,
Ford and Rolling Delta.”
Literary and Linguistic Computing
29 (3): 422–31. https://doi.org/10.1093/llc/fqu016.
Smithies, James. 2012. “Evaluating Scholarly Digital Outputs: The Six Layers Approach.”
Journal of Digital Humanities
1 (4). http://journalofdigitalhumanities.org/1-4/evaluating-scholarly-digital-outputs-by-james-smithies/.
Underwood, T. 2015. “Paceofchange: Initial Release; Version Used in Article.”
Zenodo,
31 December 2015. https://doi.org/10.5281/zenodo.44226.
— — — . 2018. “Paceofchange: Initial Release; Version Used in Article.”
Github Repository,
last commit: 18 April 2018. https://github.com/tedunderwood/paceofchange.
— — — . 2016a. “The
Longue Durée
of Literary Prestige.”
Modern Language Quarterly
77 (3): 321–44. https://doi.org/10.1215/00267929-3570634.
— — — . 2016b. “The Longue Durée of Literary Prestige.”
Modern Language Quarterly
77 (3): 321–44. https://doi.org/10.1215/00267929-3570634.
Van Dalen-Oskam, Karina, and Joris J. Van Zundert. 2007. “Delta for Middle Dutch:
Author and Copyist Distinction in *Walewein*.”
Literary and Linguistic Computing
22 (3): 345–62. https://doi.org/10.1093/llc/fqm012.
Van Zundert, Joris J. 2016. “Author, Editor, Engineer — Code & the Rewriting of Authorship
in Scholarly Editing.”
Interdisciplinary Science Reviews
40 (4): 349–75. http://dx.doi.org/10.1080/03080188.2016.1165453.
Vee, Annette. 2013. “Understanding Computer Programming as a Literacy.”
Literacy in Composition Studies
1 (2): 42–64.
Notes
[1] The situation is different in the sciences, where more concrete experiments with
code review are found. For instance the Journal of Open Source Software (http://joss.theoj.org/about)
is attempting to alleviate these challenges by creating a platform for the submission,
review, and validation of scientific code and software.
[2] https://culturalanalytics.org/
[3] https://computational-humanities-research.org/
[4] https://en.wikipedia.org/wiki/Code_smell
[5] Interestingly, the article and the accompanying code by Underwood and Sellers
have been subject to scrutiny before. The publication and code served as a use case
for a workflow modeling approach aimed at replication studies (Senseney 2016). We are not primarily interested in replication per se, but the example serves to
show how valuable the publication of open source/open access code and data are for
replication and peer review.
[6] To support ourselves in the reading process, we found it useful to keep track
of the ‘state’ of the code as it was executing. We implemented this by listing all
the ‘active’ variables and their values at each step of the process. The explanation
of each step is, therefore, also amended with a listing of these variables.
[7] See the Collections as Data project for more explorations of these dynamics.
https://collectionsasdata.github.io
[8] This also does not address Andrew Goldstone’s efforts to reproduce Pace of Change in R, which implies a form of methodological equivalence of materially dissimilar code
bases.
[9] One could even imagine the creation of Domain Specific Languages (DSLs) designed
specifically for both the data cleaning and analysis work while also being easier
on the eyes for human readers. Paradigms like Language-oriented programming and the Racket programming language could push the idea of literate programming even farther than what Knuth envisioned.
[10]
https://figshare.com/articles/journal_contribution/How_Quickly_Do_Literary_Standards_Change_/1418394
[11] "We fought the law and the law won."



